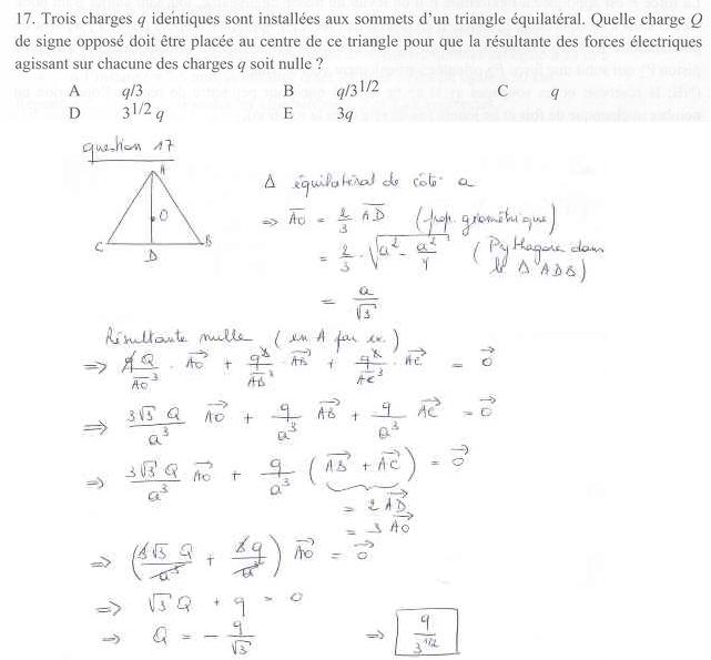
qsol17.JPG